Breaking Fusion Limit With First-Ever Stable High Density: China Unveils “Artificial Sun”

via, and all credit belongs to, Nordot.app
China’s Experimental Advanced Superconducting Tokamak (EAST) has achieved a long-theorized state in nuclear fusion called a “density-free regime,” allowing plasma to remain stable at densities previously considered unmanageable.
The breakthrough, published in Science Advances on January 1, removes a key physical barrier that has long hindered the progress toward practical fusion energy.
Pushing Beyond The Traditional Limits Of Fusion Stability
In most tokamak fusion reactors, increasing the plasma density beyond a certain limit results in destabilizing phenomena that disrupt the plasma’s confinement.
These disruptions can damage the reactor walls and halt experiments.
Historically, this empirical density ceiling has been one of fusion’s most frustrating barriers, preventing reactors from reaching the performance levels needed for ignition, the point where fusion becomes self-sustaining.
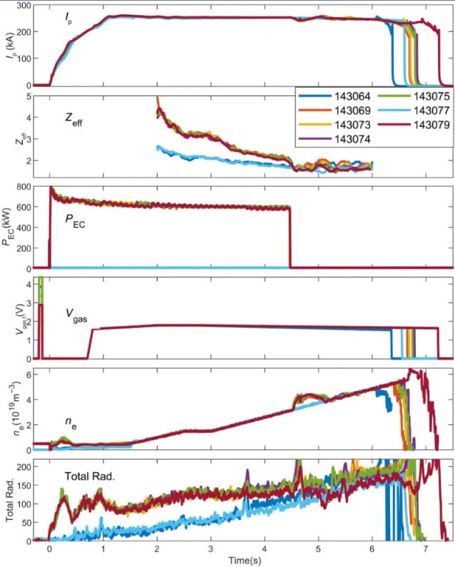
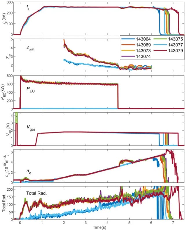
The team operating EAST, led by Prof. Ping Zhu of Huazhong University of Science and Technology and Assoc. Prof. Ning Yan of the Hefei Institutes of Physical Science approached the problem with a fundamentally new strategy.
By carefully controlling the initial conditions of the plasma, specifically the fuel gas pressure and heating profile, they optimized how the plasma interacted with the reactor's interior walls from the very start of each discharge.
This method allowed them to suppress impurity buildup and minimize energy loss, which are two of the main contributors to instability at high densities.
The result was nothing short of transformative: EAST maintained stable operation well beyond the typical density threshold, effectively entering the “density-free regime.”
According to Prof. Zhu,
“The findings suggest a practical and scalable pathway for extending density limits in tokamaks and next-generation burning plasma fusion devices.”
Confirming A Bold Theory With Real-World Experiments
The EAST experiment provides the first empirical validation of a theoretical model known as Plasma-Wall Self Organization (PWSO).
First proposed by D.F. Escande and colleagues in France, the theory predicted that under the right conditions, plasma-wall interactions could reach a self-regulating state that suppresses the usual destabilizing effects.
Unlike earlier models that treated the plasma and the tokamak wall as separate or even antagonistic elements, PWSO suggests that they can function as a coherent system, in which physical sputtering from the wall helps shape and stabilize the plasma itself.
Until now, the PWSO framework has remained untested in real fusion devices. EAST’s success marks a significant shift in how engineers and scientists might design future reactors, potentially reducing reliance on complex active stabilization systems.
The full results were published in the peer-reviewed journal Science Advances, lending credibility and visibility to what may be one of the most essential experimental milestones in fusion research of the last decade.
Why This Changes The Roadmap For Fusion Energy
For fusion to become a viable source of large-scale energy, future reactors will need to handle extreme conditions: ultra-high temperatures, pressures, and plasma densities. Each of these parameters is tightly interdependent.
A higher plasma density directly increases the rate of fusion reactions, meaning more output power, provided stability can be maintained.
Breaking through the density barrier, as EAST has done, fundamentally shifts that equation.
It implies that next-generation tokamaks, including international efforts like ITER and commercial projects from the private sector, may be able to operate at higher performance levels without encountering the disruptions that plagued earlier designs.
Associate Prof. Yan emphasized that this isn’t a one-off result: the team plans to extend their new method to high-confinement plasma modes, potentially unlocking even greater performance in future experiments.
This opens the door to a new phase in fusion research, one where reactors are designed with plasma-wall interaction as a central component rather than a constraint to work around.
How China’s EAST Is Redefining Fusion Goals Globally
The implications of this discovery go beyond the laboratory. EAST, often referred to in the media as China’s “artificial sun,” has consistently been at the forefront of experimental tokamak research.
This latest result places China in a leadership position, not just in demonstrating performance but in redefining the theoretical limits of fusion science.
While the global race to develop a working fusion reactor includes major players such as Europe, the U.S., and Japan, China’s growing track record suggests it is a serious contender in both science and eventual energy deployment.
The EAST team’s work demonstrates that some of the most persistent barriers in the field may fall sooner than expected, not through brute-force scaling, but through sophisticated control of physics at the plasma-material interface.
By moving from theoretical models to experimental proof, EAST’s success represents a key turning point in the quest for fusion energy, one that could inspire a wave of innovation across the field.



